williamhill·威廉希尔(英国)中文官网-Official Website2021年上半年组织发展对象名单公示

发布者:williamhill·威廉希尔(英国)中文官网-Official Website办公室发布时间:2021-04-08作者:浏览次数:598

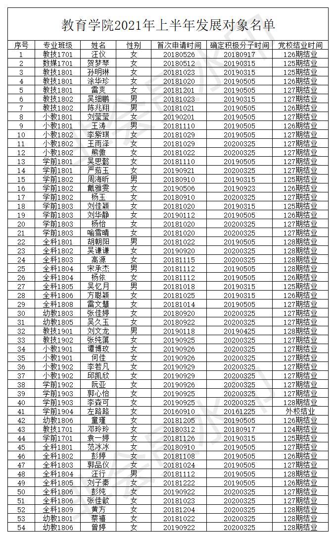
根据公司《关于做好2021年上半年发展对象确定和备案工作的通知》文件要求,经审查,公司汪仪等55名入党积极分子初步符合组织发展要求。具体名单如下:

(名单附后)

现予公示!

公示时间:2021年4月8——2021年4月14日

公示期间,党员和群众可来电、来访,反映其在理想信念、政治立场、思想作风、工作表现、群众观念、廉洁自律等方面的情况和问题。反映问题应实事求是、客观公正。以个人名义反映问题的,提倡实名举报,以便调查核实。党支部将对反映人和反映问题严格保密,对反映问题进行调查核实,弄清事实真相,并以适当方式向反映人反馈。   

联系人:公司党总支书记林永希         联系电话:0713-8833169

联系人:公司党总支副书记胡周友       联系电话:0713-8835899

联系人:公司员工党支部书记邹焱萍     联系电话:0713-8833179

  

  

  

中共williamhill·威廉希尔(英国)中文官网-Official Website总支部委员会

                                      2021年4月8日